|
TRƯỜNG ĐẠI HỌC Y KHOA TOKYO VIỆT NAM
Số: 260306/001/QĐ-THUV |
CỘNG HÒA XÃ HỘI CHỦ NGHĨA VIỆT NAM Độc lập – Tự do – Hạnh phúc
Hưng Yên, ngày 06 tháng 03 năm 2026 |
THÔNG BÁO
PHƯƠNG THỨC TUYỂN SINH HỆ ĐẠI HỌC CHÍNH QUY 2026
I. ĐỐI TƯỢNG TUYỂN SINH
- Thí sinh đã tốt nghiệp trung học phổ thông (THPT) của Việt Nam hoặc có bằng tốt nghiệp chương trình đào tạo nước ngoài trình độ tương đương THPT Việt Nam.
- Người đã có bằng tốt nghiệp trung cấp ngành nghề thuộc cùng nhóm ngành dự tuyển.
- Thí sinh đạt ngưỡng đầu vào theo quy định của Bộ Giáo dục và Đào tạo đối với nhóm ngành sức khỏe.
- Có đủ sức khỏe để học tập theo quy định hiện hành.
- Có đủ thông tin, hồ sơ dự tuyển theo quy định.
II. PHẠM VI TUYỂN SINH
- Tuyển sinh trên phạm vi toàn quốc.
- Nhận hồ sơ của thí sinh Việt Nam tốt nghiệp THPT ở nước ngoài hoặc tốt nghiệp chương trình THPT nước ngoài tại Việt Nam theo quy định hiện hành.
III. NGÀNH VÀ CHỈ TIÊU TUYỂN SINH
| TT | Ngành tuyển sinh hệ đại học chính quy | Mã trường | Mã ngành | Chỉ tiêu |
|
1 |
Điều dưỡng |
THU |
7720301 | 110 |
|
2 |
Kỹ thuật phục hồi chức năng | 7720603 | 80 | |
|
3 |
Kỹ thuật xét nghiệm y học | 7720601 | 38 | |
|
4 |
Kỹ thuật hình ảnh y học | 7720602 | 38 |
IV. PHƯƠNG THỨC TUYỂN SINH
- Xét tuyển thẳng theo Quy chế tuyển sinh của Bộ GD&ĐT.
- Xét tuyển theo kết quả kỳ thi tốt nghiệp THPT năm 2026.
- Xét tuyển dựa trên kết quả học tập cấp THPT (học bạ).
- Xét tuyển dựa trên kết quả bài thi đánh giá năng lực do các trường đại học được Bộ GD&ĐT cấp phép tổ chức, gồm:
-
- Kỳ thi đánh giá năng lực của Đại học Quốc gia Hà Nội (HSA)
- Kỳ thi đánh giá năng lực của Trường Đại học Sư phạm Hà Nội (SPT)
V. ĐIỀU KIỆN VÀ CÁC QUY ĐỊNH XÉT TUYỂN
1. Phương thức 1: Xét tuyển thẳng.
- Điều kiện: Áp dụng theo Quy chế tuyển sinh hiện hành của Bộ GD&ĐT đối với các đối tượng:
- Thí sinh đoạt giải nhất, nhì, ba trong kỳ thi chọn học sinh giỏi quốc gia, quốc tế.
- Thí sinh đoạt giải nhất, nhì, ba trong kỳ thi khoa học, kỹ thuật cấp quốc gia, quốc tế do Bộ GD&ĐT tổ chức, cử tham gia.
- Thời gian đạt giải: Không quá 3 năm tính tới thời điểm xét tuyển thẳng.
- Hình thức đánh giá: Xét hồ sơ, không tổ chức thi riêng.
- Hồ sơ: Theo quy định hiện hành của Bộ GD&ĐT và hướng dẫn tuyển sinh của Trường tại mục Tuyển sinh 2026 trên website chính thức.
2. Phương thức 2: Xét tuyển theo kết quả thi tốt nghiệp THPT 2026
- Điều kiện: Thí sinh tốt nghiệp THPT và tham dự kỳ thi tốt nghiệp THPT năm 2026.
Cách tính điểm xét tuyển:
ĐXT = Đ1 + Đ2 + Đ3 + ƯT + KK
- Đ1, Đ2, Đ3: Điểm thi tốt nghiệp THPT 2026 của 3 môn trong tổ hợp xét tuyển.
- ƯT: Điểm ưu tiên khu vực theo quy định của Bộ GD&ĐT.
- KK: Điểm khuyến khích (nếu có) theo mục 5 của Thông báo này
- Ngưỡng đầu vào: Sẽ được thông báo sau khi có kết quả thi tốt nghiệp THPT năm 2026 và tuân thủ theo ngưỡng đảm bảo chất lượng đầu vào do Bộ GD&ĐT quy định đối với nhóm ngành sức khỏe.
- Hình thức đăng ký: Thí sinh đăng ký nguyện vọng trên hệ thống tuyển sinh của Bộ GD&ĐT theo kế hoạch chung.
| TT | Ngành | Mã ngành | Tổ hợp xét tuyển |
| 1 | Điều dưỡng | 7720301 | A00, A01, A02, B00, B08, D07, D23, D28, D33 |
| 2 | Kỹ thuật phục hồi chức năng | 7720603 | A00, A01, A02, B00, B08, D07, D23, D28, D33 |
| 3 | Kỹ thuật xét nghiệm y học | 7720601 | A00, A01, A02, B00, B08, C08, D07, D23, D28, X10, X26 |
| 4 | Kỹ thuật hình ảnh y học | 7720602 | A00, A01, A02, B00, B03, B08, D07, D23, D28, X26 |
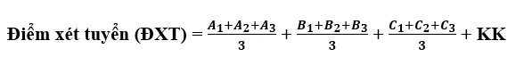
3. Phương thức 3: Xét tuyển học bạ THPT
- Điều kiện nhận hồ sơ:
- Học lực lớp 12 đạt mức khá trở lên
- Đối với thí sinh tham dự kỳ thi tốt nghiệp THPT năm 2026: tổng điểm 3 môn thi bất kỳ trong đó bắt buộc có Toán hoặc Ngữ Văn đạt từ 16,5 điểm trở lên hoặc điểm xét tốt nghiệp THPT đạt từ 6,5 điểm trở lên
- Cách tính điểm xét tuyển:

Trong đó: A, B, C lần lượt là 3 môn trong tổ hợp xét tuyển mà thí sinh lựa chọn
là điểm trung bình học tập môn A của 3 năm lớp 10, 11 và 12
là điểm trung bình học tập môn B của 3 năm lớp 10, 11 và 12
là điểm trung bình học tập môn C của 3 năm lớp 10, 11 và 12
KK: Điểm khuyến khích (nếu có) theo mục số 5. Một số quy định khác trong xét tuyển của Thông báo này.
- Lưu ý: Thang điểm tối đa của điểm xét tuyển là 30; trường hợp vượt quá sẽ được quy về 30 điểm.
| TT | Ngành | Tổ hợp xét tuyển | Điều kiện |
| 1 | Điều dưỡng | A00, A01, A02, B00, B08, D07, D23, D28, D33 | ≥ 19.5 |
| 2 | Kỹ thuật phục hồi chức năng | A00, A01, A02, B00, B08, D07, D23, D28, D33 | ≥ 19.5 |
| 3 | Kỹ thuật xét nghiệm y học | A00, A01, A02, B00, B08, C08, D07, D23, D28, X10, X26 | ≥ 19.5 |
| 4 | Kỹ thuật hình ảnh y học | A00, A01, A02, B00, B03, B08, D07, D23, D28, X26 | ≥ 19.5 |
Nhà trường xem xét bảng điểm THPT hoặc tương đương để đánh giá và quyết định nhận vào học theo quy định của Bộ GD&ĐT.
4. Phương thức 4: Xét tuyển kết quả thi Đánh giá năng lực
4.1. Kết quả bài thi đánh giá năng lực của Đại học Quốc gia Hà Nội (HSA)
| TT | Ngành | Tổ hợp xét tuyển | Điều kiện |
| 1 | Điều dưỡng | A00, A01, A02, B00, B08, D07, D23, D28, D33 | ≥ 16 |
| 2 | Kỹ thuật phục hồi chức năng | A00, A01, A02, B00, B08, D07, D23, D28, D33 | ≥ 16 |
| 3 | Kỹ thuật xét nghiệm y học | A00, A01, A02, B00, B08, C08, D07, D23, D28, X10, X26 | ≥ 16 |
| 4 | Kỹ thuật hình ảnh y học | A00, A01, A02, B00, B03, B08, D07, D23, D28, X26 | ≥ 16 |
5. Một số quy định khác trong xét tuyển
● Thí sinh được xét tuyển bình đẳng giữa các phương thức trên cơ sở điểm xét tuyển đã được quy đổi tương đương.
● Điểm xét tuyển được tính theo thang điểm 30, đã bao gồm điểm ưu tiên và điểm cộng. Năm 2026, Trường Đại học Y khoa Tokyo Việt Nam tính điểm cộng (cụ thể là điểm khuyến khích) đối với thí sinh có chứng chỉ năng lực tiếng Nhật (JLPT) như sau: N5: +0.5 điểm, N4: +01 điểm, N3-N2-N1: +1.5 điểm).
● Nhà trường không tổ chức sơ tuyển, không áp dụng thêm tiêu chí phụ ngoài quy định của Bộ GD&ĐT.
● Thí sinh có thể sử dụng một hoặc nhiều phương thức tuyển sinh để cùng xét tuyển vào các ngành của Trường.
VI. HÌNH THỨC NỘP HỒ SƠ ĐĂNG KÝ XÉT TUYỂN
1. Đối với phương thức xét tuyển theo kết quả thi tốt nghiệp THPT 2026
2. Đối với phương thức xét tuyển thẳng và xét tuyển học bạ THPT
Ngoài việc đăng ký nguyện vọng trên hệ thống của Bộ GD&ĐT, thí sinh cần nộp hồ sơ xét tuyển riêng theo hướng dẫn của Trường tại mục Tuyển sinh 2026 trên website chính thức.
Thời gian nhận hồ sơ dự kiến: từ 12/05/2026 đến 14/07/2026.
Riêng hồ sơ xét tuyển thẳng: nhận đến trước 17h00 ngày 20/06/2026.
Tải và điền tay PHIẾU ĐĂNG KÝ XÉT TUYỂN ĐẠI HỌC CHÍNH QUY NĂM 2026, sau đó:
Thí sinh có thể lựa chọn một trong các hình thức sau:
● Nộp trực tiếp tại Trường.
● Gửi hồ sơ qua đường bưu điện.
● Đăng ký/nộp hồ sơ online theo hướng dẫn tại website tuyển sinh của Trường.
ST-01, Khu đô thị Ecopark, xã Phụng Công, tỉnh Hưng Yên.
VII. LỆ PHÍ XÉT TUYỂN
● Đối với phương thức xét tuyển học bạ THPT: 200.000 đồng/hồ sơ.
● Thông tin chi tiết về thành phần hồ sơ và lệ phí được công bố tại mục Tuyển
- Cách 1: Gửi kèm hồ sơ qua bưu điện.
- Cách 2: Nộp trực tiếp tại Phòng tuyển sinh THUV.
- Cách 3: Chuyển khoản, thí sinh vui lòng gửi lệ phí xét tuyển theo thông tin sau:
| Số tài khoản: | 0591 000 66 8888 |
| Tên tài khoản: | Truong Dai Hoc Y Khoa Tokyo Viet Nam |
| Tại Ngân hàng: | Ngân hàng TMCP Ngoại Thương Việt Nam (Vietcombank),
Chi nhánh Hưng Yên |
| Nội dung CK: | “Họ tên” + “ngày/tháng/năm sinh” + “nộp lệ phí xét tuyển 2026” |
VIII. THÔNG TIN LIÊN HỆ VÀ TƯ VẤN TUYỂN SINH:
- Địa chỉ: ST-01, Khu đô thị thương mại & du lịch Văn Giang (Ecopark), xã Phụng Công, tỉnh Hưng Yên.
- Điện thoại: (024) 666 40325/
- Hotline: 0869-809-088.
- Website: https://tokyo-human.edu.vn
- Landing page: https://tuyensinh.tokyo-human.edu.vn
- Email: tuyensinh@tokyo-human.edu.vn
- Facebook: https://www.facebook.com/thuv.edu.vn
IX. HỌC PHÍ VÀ HỌC BỔNG
1. Học phí
Sinh viên nhập học năm học 2026 nộp các khoản sau:
- Phí nhập học: 6.900.000 đồng, chỉ đóng 1 lần duy nhất khi nhập học.
- Học phí năm học 2026–2027: 75.500.000 đồng/năm, đóng theo học kỳ.
- Mức học phí có thể được điều chỉnh theo từng năm theo biến động chi phí thực tế, mức tăng không quá 10%.
2. Học bổng
Năm 2026, Trường ban hành 12 loại học bổng dành cho tân sinh viên, trong đó có học bổng lên tới 100% phí nhập học và học phí 1 năm, không giới hạn số lượng học bổng. Chi tiết điều kiện và chính sách học bổng được công bố trên website của Trường tại trang Học bổng THUV.
| Nơi nhận:
– Hiệu trưởng (để b/c). – Lưu VT, PĐT. |
HIỆU TRƯỞNG (đã ký)
TS. KUSUMI MARI |
